• Lecture 12 (9/25/17)
  • Lecture 13 (9/27/17)
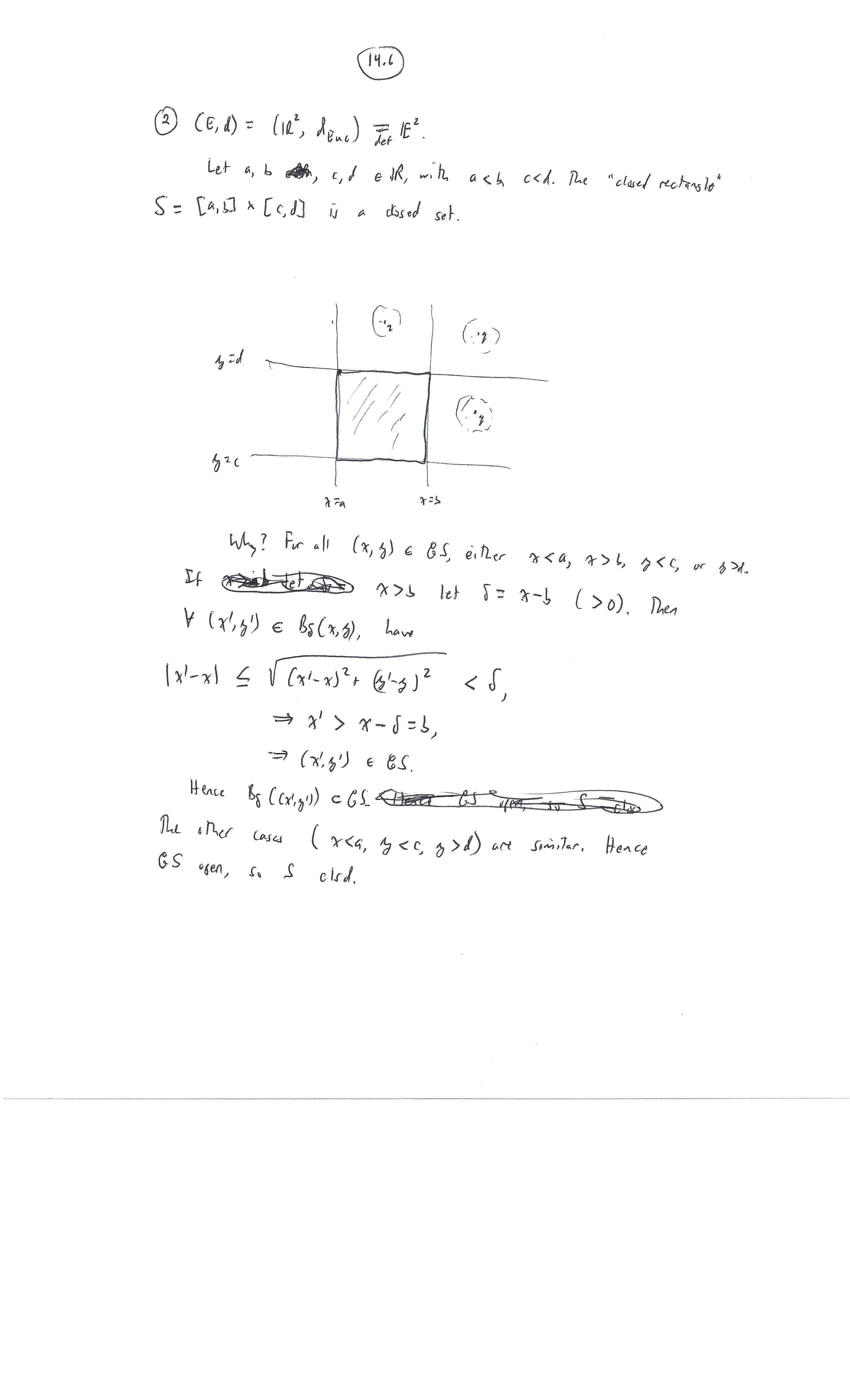
  • Lecture 14 (9/29/17). Unfortunately, the only scanner I have access to today seems to be incapable of producing documents; it can only produce photographs, one page at a time. Below are the photographs of each page of the notes. I will re-scan these as a single document once I'm back in Gainesville and have time.